Thariq.sch.id- Salah satu bab yang dipelajari oleh peserta didik pada mata pelajaran Matematika kelas 10 semester 1 adalah bentuk pangkat. Materi ini sangat bermanfaat dalam bidang eksakta baik Fisika, Kimia, Biologi, dan cabang ilmu lainnya. Bentuk pangkat pada mata pelajaran eksakta lebih banyak digunakan dalam penulisan angka yang sangat besar dalam bentuk notasi ilmiah (10n)
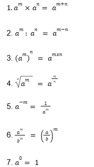
Untuk menyelesaikan soal matematika terkait bentuk pangkat, Sahabat thariq harus paham dan ingat sifat-sifat dasar dari bilangan berpangkat. Berikut adalah sifat-sifat bilangan berpangkat :

Setelah memahami dan hafal sifat-sifat bilangan berpangkat, berikut adalah contoh soal dan pembahasannya :
Soal 1

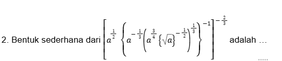
Soal 2

Soal Latihan :


Baca juga : Puspresnas : 11 SMA Berprestasi Tahun 2024 Di Kabupaten Bekasi, SMAIT TBZ Peringkat 4
Demikian sifat-sifat, contoh soal dan pembahasan serta latihan soal terkait materi bentuk pangkat. Semoga memudahkan Sahabat Thariq dalam memahami materi ini. Sampai bertemu di materi berikutnya ya. (Humas LPIT TBZ)




